В Кыргызстане отзывают отдельные партии детского питания Nestlé

В Кыргызстане начат отзыв отдельных партий детского питания под брендом Nestlé. Об этом проинформировал Департамент профилактики заболеваний и государственного санитарно-эпидемиологического надзора, получив уведомление от ОсОО Forester, который является официальным дистрибьютором продукции данной компании.
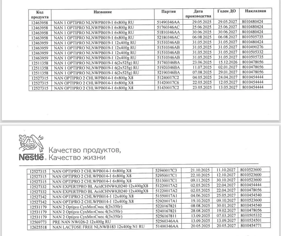
По информации дистрибьютора, центральный офис Nestlé в России принял решение о добровольном отзыве конкретных партий детского питания. Это касается сухих быстрорастворимых молочных, безлактозных и кисломолочных смесей, таких как NAN 1 OPTIPRO, NAN OPTIPRO 2, NAN EXPERTPRO, NAN 2 OPTIPRO, PRENAN и NAN LACTOSE FREE, с определёнными датами производства.
Отзыв осуществляется в целях предосторожности и является частью глобальной инициативы компании Nestlé из-за выявленного потенциального риска присутствия токсина цереулида в сырье, в частности в арахидоновой кислоте.
Официальный дистрибьютор уже приступил к изъятию указанных партий продукции из продажи на территории страны.
В связи с этим, Департамент настоятельно рекомендует потребителям проверить названия и даты производства своих детских смесей. Если они совпадают с отзывом, следует немедленно прекратить использование и обратиться к дистрибьютору для возврата. Продавцам также рекомендовано остановить продажу упомянутых партий и обеспечить их изъятие из торговых точек.
По информации производителя, отзыв затрагивает ограниченное количество партий, которые могут содержать токсин цереулид. Данный токсин вырабатывается некоторыми штаммами бактерии Bacillus cereus, стойкими к высоким температурам и не разрушающимися при кипячении. Симптомы, которые могут возникнуть при употреблении продукции с высоким содержанием цереулида, включают рвоту и диарею, что может быть похоже на пищевое отравление или аллергическую реакцию на белки коровьего молока.
Обсудим?
Смотрите также:
